The breeding ground for the Special Relativity TheoryLet’s make the quabla operator invariant again.Aug 27Aug 27
A glimpse into the realm of Autonomous Harmonic Oscillators, constants of the motion and Fosse’s…A couple of years ago, I was finishing Jon Fosse’s (2023 Nobel prize) “Aliss at the Fire”. Naturally, I could think of nothing else but…Jul 9Jul 9
Euler’s identity and Ogawa’s Professor beloved equationToday is π day so, let’s celebrate it by deriving one of the most beautiful relationships in mathematics: Euler’s identity (the…Mar 15A response icon1Mar 15A response icon1
Conservation of mechanical energy -by Châtelet- from the fundamentals of Newtonian mechanicsIn honor to the genius, on his birthdayDec 25, 2024A response icon3Dec 25, 2024A response icon3
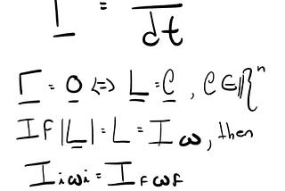
The beauty of simplicity: conservation of angular momentum and the birth of a black holeDec 14, 2024Dec 14, 2024
El sufrimiento: oscilador armónico simple y, la muerte.A EULERFeb 26, 2024A response icon1Feb 26, 2024A response icon1
El logaritmo natural y su inversa: preludio del modelo de crecimiento exponencialFeb 26, 2024A response icon1Feb 26, 2024A response icon1
De la muerte de una estrella a la consistencia relativaJan 26, 2024A response icon1Jan 26, 2024A response icon1
About Flatland and, on how to construct a friend of dimension 4 for A. SquareSep 24, 2023A response icon1Sep 24, 2023A response icon1